Start out by using the Pythagorean theorem to write the vertical length y as a function of the horizontal length x.
recall that the derivative of displacement with respect to time is equal to velocity. So in order to create a velocity equation, we will differentiate both sides of the equation above with respect to time.
We're almost ready to solve the problem. All we have to do now is a little bit of substitution and manipulation of the problem.
important note* dx/dt is the velocity of A. It's important to know that the velocity of A is going to be negative because as A is moving to the left, the length of side x gets smaller. This means that the rate of change of x with respect to time (dx/dt) is negative. It is thus substituted with negative v.
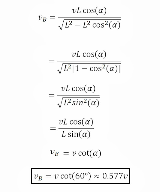
at this point it's just a matter of rearranging parts of the equation and making it look nice. It should simplify to something fairly simple where we can plug in the angle alpha.
Isn't it mind blowing? We started out with a nasty looking velocity equation and simplified to something simple.















